设为首页

加入收藏

怀念旧版

首页 私法动态 私法名家 私法研究 私法讲坛 私法茶座 私法书架 私法课堂

>   理论法专题   >   立法语言的模糊性问题

立法语言的模糊性问题


——来自语言经济分析的视角
发布时间:2017年1月27日 丁建峰 点击次数:3289

[摘 要]:
法律语言的模糊性特征已经成为立法过程中不可忽视的重要问题,沿着语言经济分析的思路研究这一问题,将会揭示“作为制度的法律语言”的若干规律。立法语言的模糊性可以分为技术性模糊和策略性模糊,前者是基于立法者有限理性而产生的模糊性,后者则是产生于立法者的策略性逐利行为的有意识的语言模糊。技术性模糊是社会的一种次优选择,而策略性模糊则将有损于社会福祉。故而,应当采取有效手段,使立法语言的技术性模糊收敛到合适的区间,而应以必要的手段控制策略性模糊,包括控制部门立法、加强立法监督等。
[关键词]:
立法语言;技术性模糊;策略性模糊

 
  一、立法语言的模糊性
 
  正如蒂莫西·恩迪科特在《法律中的模糊性》中所说,“模糊性以及因模糊性产生的不确定性,是立法的基本特征。”{1}尽管水晶般的清晰是法律语言的理想目标,但质诸现实,法律语言的模糊特征已经成为立法过程中不可忽视的重要问题。早在1904年,梁启超在讨论立法问题的《论中国成文法编制之沿革得失》一文中,就提出了“法律之文辞有三要件:一曰明,二曰确,三曰弹力性,明、确就法文之用语言之,弹力性就法文所含意义言之”{2}(P.181)。可见,立法语言之明确性与模糊性之间的权衡考虑,是一个由来已久而又值得长期探索的问题,并且日渐发展为法律语言研究的核心议题之一。
 
  立法语言的模糊性,从根本上说,来自于人类语言的模糊性。语言的模糊性,是指语言所指向的对象没有明确的界限,无法用一个边界清晰的集合来加以概括。伴随着语言的产生和使用,模糊性可谓无所不在,例如,我们无法用尺子划定“高”和“矮”的界限,也不能给“杰出青年法学家”或者“低俗文化”下一个精确的定义。法律语言同样广泛地存在这一问题。然而,由于法律的特殊属性——提供确定性的判断以规范和调整社会秩序,因此,一般认为法律语言应当具有专业性、单义性、系统性等特点,尽量避免含混和模糊。但在现实中,情况却远非如此,据不完全统计,中国《刑法》中运用模糊词语有一百余条,约50%的条目中都有诸如“适当”、“严重”、“其他”之类的模糊词语{3}(P.45)。在《劳动合同法》、《侵权责任法》等部门法中的模糊表述,更是屡见不鲜。[1]当然,法律中模糊语言的使用,具有正面的、积极的功能,它可以使法条表述简洁,概括力加强,把纷繁复杂的社会现象涵括于有限的法条之中,具有相当的灵活机动性,可以在白云苍狗、变化靡常的世界中适应各种不同的情况。这方面最突出的例子也许是美国宪法,它历经二百余年,经过若干次有限的修改之后,仍然屹立不摇,适应着经历了沧桑巨变的美国现实。当然,立法语言中的模糊性也会带来许多问题,例如导致判决的不一致、法律的不确定性、影响社会生活的预见性和稳定性等。总之,立法语言中的精确性与模糊性,具有一种内在的张力,立法者对它的处理适切与否,将极大地影响法律的现实效果。
 
  法律语言的模糊性问题已经激起了学术界的颇多讨论,有不少论文和著作对这一问题进行了有益的开掘工作,也取得了不少研究成果。[2] 据姜廷惠的总结,这一领域已经形成了多种相互关联的“研究范式”,例如普通语言学范式、法哲学范式、语言哲学范式、认知心理学范式等{4}(P.8)。但是,不可忽视的是,其中多数著述集中于就语言而论语言问题,在语言哲学、语义学、语用学范畴内展开自己的理论,然而,这些研究有一个空白之处,即,它们未能就“作为社会制度的一部分”的语言而开展研究。笔者认为,语言的模糊性不仅仅来自语言本身,还来自语言的使用者的策略行为,来自语言背后的各种力量的博弈。日常对话中,说话者闪烁其词,并非因为他自身的语言能力有问题;更多情况下,这是说话者为了达到一个特定的策略目标,有意识地操纵语言的结果。那么,立法语言的模糊性,是否也包含着一个策略性的维度?立法语言模糊性是否是成本-收益分析之下达致“语言效率”的一个必然选择?立法者是否可以通过操纵语言的模糊性来达到对规则的操纵?如果这些现象确实存在,那么,应当如何评价和应对?笔者认为,目前对于立法语言模糊性问题的分析,过分关注语言自身的维度,而忽略了相关各方的策略性选择这样一个重要维度,由而构成了一个理论的“盲点”,而经济分析尤其是博弈论的视角,将有助于对以上问题的理解。目前,语言的经济分析专家们已经对一般意义上的语言模糊性进行了一些研究,并且取得了若干成果,笔者在这里首先简述语言经济分析的研究思路,然后循着这一思路,对立法语言的模糊性进行若干分析,以期得到若干有启发性的结论。
 
  二、语言模糊性的经济分析
 
  语言经济分析,或称语言经济学,是最近几十年来蓬勃发展的经济学跨学科分支。它采用经济学特别是博弈论的分析工具,以语言为研究对象,对语言的形成与演化、言语行为策略和语言政策加以研究。如果说经济分析的研究目的是理解人类一般的制度构建和演化的机理,则离开了作为最普遍和重要的“广义制度”——语言的分析,则制度经济分析将是不完整的{5}。20世纪的语言经济分析的发展在某种程度上填补了这块空白,尽管它由马沙克1965年的《语言的经济学》开端,[3]但追根溯源,语言经济分析的历史可以追溯到亚当·斯密的早期著作,在《修辞学讲义》中,斯密猜测语言的一般规则的形成,是互动的个体采用符号交流的演进过程的产物。[4]此后的研究回应了斯密的天才洞见,2000年,博弈论大师鲁宾斯坦发表了《经济学与语言》。[5]他认为,人的语言和思维结构中存在着二元线序关系,依此生成的语言是最经济和最有效的。鲁宾斯坦认为,词语的特定含义经过了演化过程而达到最优。布鲁姆则在协调博弈的背景下研究了语言的产生问题,他认为语言是在无限丰富的世界中解决协调问题,促进效率的手段。人们在多变而丰富的环境中相互合作,必然需要语言,语言从共同的知识结构中显现出来,其结果是促进了协调的效率。[6]还有若干学者如Grice、Parikh、Roberts和Shin等人,采用博弈论方法,从语用策略的角度研究语言问题,也取得了不少进展。[7]
 
  博弈论学者从不止一个方面来解释语言模糊性的成因与功能。例如,格雷泽和鲁宾斯坦在一个非合作博弈框架下研究了最优的说服策略,他们发现,在双方辩论的框架下,辩论者必须摆出对自己最有利的论据以驳倒对手、说服听众,辩手会采用各种方法来加强自己的论据的证明能力,其中就包括采用模糊语言“把水搅浑”,同时,理性的听众也会最小化错误判断的概率,其方式是最优化地从辩手的陈述中提取信息,尽可能使自己对证据力度的判断不受辩手的举证策略影响。[8]
 
  李普曼则认为从标准的信号博弈的角度,演化不足以导致语言的最优化,却可以导致语言的次优——即某种最优的模糊度。[9]在格雷泽和鲁宾斯坦2006年的框架里,辩论者之间存在着利益冲突,而在李普曼的模型中,信号的发送者(说者)和接收者(听者)之间不存在利益冲突,在标准模型中,如果接收者可以清晰准确地接受信号,则精确语言必然占优于模糊语言。但是,如果接收者产生误解,则模糊将胜于精确——误解的原因包括噪声信号(noisy signalling),亦即信号传输不畅(例如,听者听不清楚说者说的话,或者听者不具备做出判断的合适信息);也包括接收者无法体察到发送者说话的背景(例如,说者具有专业能力而听者是外行,如果听者对专业术语完全不懂,说者就只能使语言模糊一些,以保证通俗易懂);或者正好相反,接收者可以特别精细地体察到发送者的说话情境,以至于发送者只需要给一个模糊的暗示就可以让接收者做出合适的行动,以节省信息发送成本。用信号传递博弈的术语来说,在以上诸多情形中,博弈存在着混同均衡或半混同均衡,由于种种原因,发送者对不同的世界状态选择了同种的词句,从而导致了语言的模糊性。Franke等人也从有限理性的角度讨论了语言模糊问题,认为参与人自身的决策不一致性(在看上去十分相似的环境下做出不一致的选择)是导致语言模糊的重要原因。[10]在2014年发表的研究论文中,Cailin O’Connor认为,模糊语言的本质,是对连续的世界状态人为地加以划分,一旦状态空间变大,则可能的纳什均衡的数量会迅速增加,如果此时可用的信号数量少于待传递的状态数量,则半混同均衡是最优选择。采用Herrnstein强化学习模型进行仿真的结果是:真实世界中的学习策略会使得博弈参与人迅速发展出一套信号惯例(signaling conventions),对连续空间的状态进行较为简化但模糊的表达,接收者也会在反复学习的过程中,恰当地理解模糊信号的含义,从而达成有效的交流。[11]
 
  回到法律语言的模糊性上,至少我们可以肯定,说者与听者的“有限理性”同样是法律语言模糊的一个重要原因,立法者无法百分之百地预测所有未来的情形,而执法者和守法者也偏好简明易懂而不是繁复冗长的法律体系,语言的模糊性,恰可以完成这一目标,所以,这种来自“有限理性”的模糊不可能对法治造成严重的打击。正如日常语言的模糊性是一种次优选择一样,来自有限理性的模糊性在法律中也是一种次优选择。诚如博登海默所说,“数个世纪的经验告诉我们,任何法律制度都不能也不可能达到如此之明确无误的程度”{6}(P.128)。有限理性并不会导致语言交流效率的重大损失,由于演化的压力,基于有限理性的模糊性会自动调整到一个合适的程度。需要避免和防范的,倒是另外的一种模糊性:即来自说者的有意识的策略性模糊(intentional strategic vagueness)。限于本文的篇幅与主题,笔者将集中论述立法语言中的技术性模糊与策略性模糊问题,但相关的方法,也可以应用于一般法律语言的研究。
 
  三、立法语言的技术性模糊与策略性模糊
 
  从认识论的角度而言,语言模糊性的一个重要来源是:人们对世界的认识在某种程度上就是模糊的。故而,立法语言模糊性的重要原因之一是立法者本身的认识模糊。在不同语境中,立法的目的是多维度、随情境而变化的。但是,由于这类问题涉及过于繁复的哲学意义上的讨论,因此本文不详细讨论立法者本身对世界的认识出现模糊、立法目的模糊的情形,而假设立法者自身的立法目的都是相对清晰的,并且对特定案件是否符合这个立法目的能做出自己的判断。
 
  笔者把立法语言中的模糊分为两个类别。基于立法者有限理性的模糊,称之为“技术性模糊”。基于立法者的策略性逐利行为的、有意识的模糊则称为“策略性模糊”。在实践中,由于语言的模糊性总是伴随着自然语言的使用,更由于我们无法直接观察到立法者的动机,因此,立法语言的策略性模糊跟技术性模糊往往混合在一起,难以完全分离。但是,从学理的层面上说,技术性模糊和策略性模糊的区别是很明显的:技术性模糊是因为立法者的信息不足、语言手段有限、界定成本过高而“不得不选择”的模糊表达;而策略性模糊是因为立法者的某些政策或自身利益的考虑而“主动选择”的模糊表达,二者的成因迥然不同。当然,“技术性模糊”经常也是立法者“有意为之”的结果,但立法者之所以如此选择是基于一种无偏私的社会福祉考虑;而“策略性模糊”则是立法者的有偏私行为,其目的是追求一时的政策效果或自身利益最大化。技术性模糊是法律语言自然演化的结果,在一个正常的法治社会,立法语言的技术性模糊会收敛到一个合适的区间之内,总体而言,技术性模糊具有正面的、积极的语言功能。而策略性模糊则是对社会次优状态的一种偏离,由于立法者偏离了社会福祉的目标,因此它对于社会整体是弊大于利的。
 
  技术性模糊的根本原因,是人的有限理性和语言表达能力的有限性。第一,立法者不可能想象到未来发生的所有情况加以应对,于是在立法的时间点上不得不采用一些概括性的表达,如《刑法》114条、115条规定以危险方法危害公共安全罪时,在罗列了诸种常见情形后,采用了“以其他危险方法”的模糊表达;再如,刑法中区别量刑幅度的用词“数额较大”“数额巨大”“数额特别巨大”,是为了避免因为未来的通胀而影响法律安定性。第二,语言或概念本身是对连续世界的离散划分,因此必然难以覆盖某些边缘情形。语言学上著名的“秃头困境”(有多少根头发才能被定义为秃头)正刻画了这一点。在法律上也有大量的边缘事例(borderline cases)。正如卡多佐法官所说,那些“使争议得以发生的边界地区”,最容易成为法律中的模糊地带{7}(P.81)。基于以上两个原因,如果强制性地要求立法语言的绝对清晰,无异于要让立法者成为神一样的存在,并且使用一种复杂无比的、清晰划分所有可能状态的特殊语言。正如哈特所说,“很明显,这个世界不是我们的世界;人类立法者根本不可能有关于未来可能产生的各种情况的所有结合方式的知识”{8}(P.128)。因此,那种将未来所有情况都预先规定的“机械法学”的世界,必然会遇到种种困境。用经济学的语言来说,如果语言清晰化不会付出任何代价,那么,立法者将没有任何理由使用模糊语言。立法者之所以使用模糊语言,正是因为语言的清晰化是有成本的,并且随着清晰化要求的提高,边际成本也会越来越高。
 
  我们下面用一个简单的博弈模型来讨论立法语言的技术性模糊问题,并引出对立法语言的策略性模糊的界定。在这里,笔者使用哈特在《法律的概念》里举的著名例子——立法者设计了一个规则“任何车辆禁止进入公园”,但是,“车辆”这个词本身的边界是模糊的,于是,必然引起若干的边缘事例,单凭这条规则难以判断。例如,小孩子的玩具电动车能否进入公园{8}(P.128-129)?在这里,我们假设立法者认为这一边缘事例是合法的。[12] 此时,立法者有两个策略,第一个策略是增修法律,清晰地规定这一类事例为合法;第二个策略是仍然保持原有的模糊规则,而授予执行者以自由裁量权。[13]如果执行者面临清晰规则,那么他只能按律执行;如果面对的是模糊规则,执行者可以弹性化地解释这一规则。
 
  我们把立法与执法的过程刻画为如图1所示的一个信息不完全的博弈树。其中,执法者的类型是差异很大的,对同样一种行为及其结果的效用评价会大相径庭,并且他们满足某种概率分布;由此会导致不同类型的执行者对一条模糊规则的解释行为大不一样。立法者不能直接观察到自然的行动,从而不知道执行者的确切类型,但对此概率分布有所认知。
 
  图中支付设置的含义如下:(1)对执法者而言,执行法律的收益为s;但如果他在模糊状态下对法律进行错误解释,正常类型得到的效用为s-d, d >0,而反常类型得到的效用为s + b, b >0。我们假设自然以p的概率使执行者成为正常类型,以(1- p)的概率使其成为反常类型。(2)对立法者而言,若执法者执行了其原意,则他的收益为r;如果执法者偏离了立法者的原意,则他的收益为- b,即执法者的偏离越严重,立法者的损失越大。立法者也可以选择付出成本c使法律清晰化,此时执法者将不能任意解释。如果立法者和执法者协调一致,则立法者和正常执法者都得到收益。如果执法者偏离立法者的原意进行错误解释,则反常类型的执法者受益而立法者受损,例如:执法者把原本接近于合法的边缘事例说成不合法,或者反过来把接近违法的边缘事例说成合法,这种错误解释对他而言是有好处的,这种好处有可能是直接的腐败,也可能是间接的,比如享受到行使权力的快感、减少了解释时所用的精力等。
 
  图1边缘案例与模糊语言选择的不完全信息博弈图示
 
  在这个博弈中,显然正常类型的执法者必定选择正确解释,而反常类型的执法者选择错误解释;立法者在这种情形下的最优决策需满足如下不等式:
 
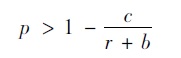
  若pr -(1- p) b > r-c ,则使用模糊语言的预期收益大于清晰语言。
 
  整理可得立法者选择模糊语言的条件为
 
  
 
  这个简单的不等式可以有如下含义:
 
  (1)p越大,则模糊的可能性越大。亦即,如果正常类型的执行者能精准地预期到立法者的原意,并且分布比例足够地大,立法者就无须使用过于精确的语言。从这一层次上看,实际上立法语言不是越清晰越好,其最合适的模糊程度取决于法律共同体达成共识的能力。
 
  (2)c越大,则模糊的可能性越大,亦即,如果清晰化的成本很高,那么立法者必然使用模糊语言。
 
  若c > r + b,亦即清晰化的成本高于所有潜在收益,则立法者必定使用模糊语言。
 
  (3)如果c=0,亦即界定边缘情形是无成本的,那么法律将必然是清晰的。这里的作用机理与一般信号传递博弈是相同的,如果传递信号没有任何成本,那么在协调当中,发送者必然选择明晰的信号。当立法者可以相当容易地将不同状态划分清楚,他没有理由保持边界的模糊状态。
 
  (4) r、b越大,则越应当将法律清晰化,因为此时对于立法者而言,r越大意味着这一类型的事例越重要,b越大意味着法律漏洞造成的后果越严重,对立法者而言,他即更加迫切地需要采用清晰的语言以填补法律漏洞。
 
  (5)如果p=0,亦即所有执法者都是反常类型的,他们完全倾向于偏离立法者的原意进行解释,此时,相当于所有执法者都是“一有机会就腐败”的机会主义者,此时,只要r > c,即只要语言清晰化的成本不是太高,立法者就会使用清晰语言。
 
  从这个模型可以界定技术性模糊和策略性模糊如下:所谓技术性模糊,即如果立法者的收益r代表总社会福祉(可以由一个社会福祉函数代表),由上述不等式所决定的立法语言模糊程度。策略性模糊则可以被界定为立法者背离社会福祉的要求,对最优的技术性模糊状态的刻意偏离。
 
  我们可以用图2进一步解释这一区分。图2的横轴x代表事例所处的状态,0代完全合法,1代表典型的违法。在0和1之间是一片边缘地带,x越接近1就越接近于典型的违法。我们定义C(x)为划界成本函数,亦即以清晰法条判定x为合法或违法所耗费的成本,这种成本包括修改法条的成本、法律复杂化的成本、法律僵化无法应对未来多变形势的成本等等,c(0)=c(1)=0,亦即典型的合法或违法的划界成本为0。x越接近中间区域,说明事例越不典型,付出的划界成本越高,因此C(x)是一条中间凸出的曲线。我们定义E(x)为执行成本,这里特指执行者因为法律模糊而任意解释法律而造成的错误成本。如果实现了清楚的划界,亦即,x被清晰地划成违法或合法,则会带来执行成本的节省,因为此时执行者不可能通过任意解释而损害法律的安定性和权威,也不能因为法律规定不明晰而有腐败的机会。反之,案例越不典型,则执行成本越高。因此,E(x)也是一条中间凸出的曲线。同时,执行成本与划界成本之间存在此消彼长的互替关系,采用模糊法条会带来执行成本,但同时节省了划界成本。为简化之故,我们假定两种成本可以完全替代,此时,社会最优选择应选择较低的成本曲线,亦即min{ C(x),E(x)}。
 
  
 
  图2描绘了法律语言模糊的情形。在左侧的图中,C(x)开始低于E(x),这表明清晰划界是有效率的,但到了中间区域,C(x)高于E(x),它们的两个交点决定了法律清晰程度的范围。在0到u0的范围内的事例应当被定为合法,在u1到1范围内的事例应被定为违法,而u0到u1之间则由于划界成本过高而无法界定,因此[u0,u1]区间刻画了法律的最优模糊程度。如果C(x)与E(x)不相关,而且充分代表划界时带来的社会福祉的损失,那么[u0,u1]的模糊区间是一种技术性模糊。但是:如果C(x)并不能充分代表社会福祉的损失,而是由政策考虑而将其强行压低或扭转,则最优的模糊程度将会改变。例如强制性的、一刀切式的“划界”,实际上是强迫立法者不从全部社会福祉的角度考虑划界成本,因此模糊区间必然偏离社会最优;还有一种情况是:如果C(x)与E(x)高度相关(例如立法者本身就从执法中得到好处),那么这一模糊区间也会发生偏移,立法者将不会以精确语言来约束执法者,故而语言模糊的区域更大。以上两种模糊即可以称之为策略性模糊。例如,在图2右侧图中,C(x)明显下降并向左侧偏移,从而使得被划定为违法的区域向左偏,而中间的模糊地带也偏向于0点。这意味着立法者给了执法者更大的裁量权,同时有更多的边缘事例被确定为违法。
 
  对立法语言模糊的博弈分析,相对于对一般性的语言模糊的分析,具有自己的一些特殊性。例如,在法律领域内,基于“噪声信号”的策略性模糊在很大程度上是不存在的。执行者也许会弄错立法者的本意,甚至按照自己的利益任意解释法律条文。但是,除非这样做得到了立法者的默许,否则,错误的理解和解释不可能长期反复地发生。原因在于,已经公布的法律对各方而言都应该看做是共同知识,不可能像“噪声信号模型”那样有巨大的差错率,对于法律从业者而言,听不清、找不到、读不懂法律的情形是少有的。现实中,执行者可能会错误地理解某些法律条文,进而错误地适用法律。但是,在现代法律制度框架下,每个结果都是记录在案、有据可查的,因此,执行者的错误是可以观察到的。如果错误超出了可容忍的限度,立法者会采取必要的手段(例如进行法律解释,出台指导性案例等)来减少这些错误。同理,执行者固然可以运用自己的自由裁量权对法律条文做出任意解释,“故意”犯下某些错误使自己得到利益,但只要判决结果是可观察的,一个公正无偏的立法者不可能对此无动于衷,只要划界成本足够小,他必然会使这个模糊条文精确到无法进行任意解释的程度。因此,在技术性模糊的范围内,经过法律语言的“自然演化”过程,法律语言会自动收敛到一个合适的模糊程度,既不会极端精确变成一种人工语言,也不会像日常用语那样模糊而充满歧义,“法言法语”恰恰是介于这两者之间而达到一种微妙的平衡。
 
  反之,如果现代法律制度及其实施尚不健全,立法者受到诸多干预和影响,那么,法律语言的模糊程度就往往受到策略性行为的影响,亦即,这种模糊在很大程度上是故意为之。基于以上关于信息结构的论述,可以认为:策略性模糊如果造成了社会福祉的损害,其最终原因必定在于立法者(以及影响立法者的利益集团)对合理目标的偏离,而不可能系统性地产生于执法者。即使执法者经常错误地解释法律以损害社会福祉,但如果没有立法者的默许,这种情况也不可能长期发生。
 
  四、基于立法现状的进一步讨论
 
  目前,中国的社会主义法律体系已经初步建立,立法工作取得了巨大成就。但是,不可否认的是:中国法律的层次复杂,不少法律用语抽象、笼统、概括性过强。如上节所论,法律语言的技术性模糊是一种语言演化中的次优选择,语言的模糊度可以不断被调整到最优区间,最终形成一种精确度介于人工语言和日常口语之间的“法言法语”。中国法律语言的演化也莫能外于此大趋势,帝制中国两千多年以来的法律语言演化,总体而言是从模糊向着清晰转变,自近代以来,中国法律逐渐引入和借鉴西方的法律语言,通过“约定俗成”、“学者界定”、“外来移植”三大方法,其言语系统也已逐渐演化成型{9}。目前,中国法律语言的精确程度与规范程度正在不断地提高。尽管遗留的问题亦复不少(例如法律规定抽象笼统、条文简略、解释繁杂等),但中国法律语言正向着更加规范的路径收敛。无论是立法者还是司法系统的执法者,语词风格均愈来愈趋近“标准化”的法言法语,并且日益以此为基本的素质要求。尽管这种语言具有不可避免的模糊性,但如果在此标准上能形成一种默契和共识,则模糊性带来的缺陷将会日益减少。
 
  但不可否认,中国立法语言中也存在着若干策略性模糊的存在空间,这种策略性的模糊存续期漫长,难以修改,留下了较多的司法不公与腐败的空间。笔者概括,立法语言中的策略性模糊的来源主要有二:
 
  (1)由政策原因导致的策略性模糊。策略性模糊可能是由政策原因导致的。亦即,立法者受到政策的限制,由而偏离了法律的最优模糊程度。例如,二十世纪七八十年代,为了实现社会控制的目的,相关主管者曾经片面强调立法的“宁简勿繁”、“宁疏勿密”,提出“宜粗不宜细”。以牺牲法律清晰性为代价,增强法律的概括性,换取法律的普遍适用性。因此导致立法粗疏,相关规定简而不明。目前中国的立法者基本上已经放弃了这种思路,转而采用一种更加严密的立法策略。同时,为了社会控制的目的,《刑法》中仍然保留了若干“口袋罪”,例如寻衅滋事罪、非法经营罪等。这种罪名在现实中容易扩大化,罪与非罪界限模糊,历来受到学者和公众的诟病。但是,口袋罪非但没有退出历史舞台,而且还在不断产生新的类别,例如以危险方法危害公共安全罪、破坏计算机信息系统罪等,都从普通罪名变为了口袋罪。原有的口袋罪的适用,也从“有罪能罚”扩展到了“轻罪重罚”,形成一种四面出击,加强打击力度之效{10}。这种变化,和立法者赋予法律的社会控制功能的政策性考虑高度相关,只要这种政策性考虑不变,那么口袋罪及类似现象就很难被彻底终结。
 
  (2)由立法权分割、部门立法导致的策略性模糊。目前中国的立法权分割比较严重,行政机关、地方权力机关可以与国家立法机关分享立法权,呈现出权力割据的状态。此外还存在着部门立法问题:即由相关行政部门起草法规法案,然后提交权力机关审议通过。此外,各种具有实际法律效力的规范性文件层出不穷,包含着诸多维护本地区和本部门的利益的条文。尽管八届全国人大已经提出了减少部门立法的目标,但限于种种原因,部门立法的比例居高不下,十一届全国人大立法计划确立的64部法律中,有四分之三由行政主管部门起草。[14]至于地方一级具有实际效力的规范性文件,更是鲜明地体现了立法部门的自身利益。“行政权力部门化,部门权力利益化,部门利益法制化”成为最严重的问题。尽管表面上看部门起草者仅仅贡献草案,但无论审议机构如何修改,但除非全盘推翻草案,否则起草者仍然具有最大的发言权。在此背景下,法律的漏洞是不可能通过一个自然的演化路径来得到填补的,而有可能长期存在。
 
  部门或地方可以用明确的法条将自身利益固定化,例如《邮政法》中禁止竞争、维护国有邮政企业垄断的条款,是明显的部门利益法制化;但《邮政法》中并不设立邮政企业丢失信件需要承担责任的条款,则是隐含地维护了部门利益。在多数情形下,部门立法者会使自己的利益隐含在模糊的法条之中,从而达到既不触怒公众,又容易在权力机关通过,同时还能谋取最大利益。例如,1995年《食品卫生法》中对于食品安全监管责任的条款存在着模糊,规定了质监、工商行政管理和食品药品监督管理部门的分段监管,同时在地方上规定了卫生行政、农业行政、质量监督、工商行政管理、食品药品监督管理部门的多头监管模式,但并没有详细规定具体责任,条文模糊不清导致执行中权责分配混乱,出现事故后各部门相互推诿责任。尽管受到广泛诟病,但2009年实施的《食品安全法》之中,这些模糊条款并没有被去除,仍然保留了下来,因为多头监管模式可以给监管部门带来巨大利益。于是,不出预料,新的食品安全法通过后,食品安全事件仍然层出不穷。在处理特定的食品安全案例时,执法人员常常表示,国家相关条例不但没有规定禁止、清理的手段和程度,同时也缺乏相应的监管责任规定,监管无法可依。[15]再如,我国的土地立法中,农村土地所有权主体模糊的问题、土地征收征用过程中的法律缺位问题、《拆迁条例》中“公共利益”的界定不明的问题,都是长期存在而又难于解决的痼疾顽症。此外,大量的地方性法规、地方政府规章、部门规章中,更是存在着对法律执行程序、监督管理的主体、对象、内容、程序、责任方式等语焉不详的问题,尽管它们同时也包含着技术性模糊,但由现实利益而引致的策略性模糊,仍在其中起到相当重要的干扰作用。
 
  五、小结与展望
 
  以上我们以法律经济分析的思路对于立法语言的模糊性问题作了一个初步的分析,基于这些分析,可以在此总结对于立法语言模糊性的处理方略如下:
 
  首先,对于立法语言的技术性模糊,不应完全加以去除,这也是不少法律语言学著作的共同观点,“精确不一定意味着极度清晰,它也可能包括采用适当程度的模糊性或灵活性”{11}(P.46)。技术性模糊是法律对现实情境适应的产物,是法律语言在演化过程中的自然趋势。但我们可以尽量地对这个自然收敛的趋势加以“润滑”,让立法语言更容易地趋近于最佳的模糊程度。此类策略包括,鼓励应用法律语言学、法解释学等学科的研究;确定专业术语的确切含义;编订和发布指导性案例、改善案例和判决书的检索系统等。当然,改善立法语言的质量,重要的还在于立法者自身的素质:立法者不仅要有良好的法律素养,同时,要有精准熟练地驾驭语言的能力。立法者还应具有换位思考的能力,不断地想象自己处在研习、适用和执行法律位置上的时候对法条中特定语句的反应。加强对未来立法者的语言教育、选拔简用合适的立法者,是优化立法语言的必要手段。
 
  第二,对于立法语言的策略性模糊,根本的治理之道是改变对其造成影响的利益结构。解决的方法之一是严格限制行政部门任意解释法律的空间,将立法权和法条解释权尽量向上回收,控制由任意解释而带来的不当收益。同时,立法者的目标应当尽量接近客观的总社会福祉。对于那些由政策原因而导致的策略性模糊,也许在短期内具有立竿见影的社会效果,但长期而言必然损害法治的权威,需要政策制定者自我约束,严格遵守法治原则,不能用一时之政策干扰万世之法典。长期而言,监督的力量更加不容忽视,加强人大监督,在立法上遵循专家意见,严格法律的解释程序,都是控制政策性的语言模糊的治本之道。对于由部门立法和立法权分割导致的策略性模糊,首先需要治理的是立法权的分配本身,在这类问题中,语言模糊只是表象。如果解决不了背后的“权力界定权利”、“部门利益法制化”的问题,那么立法中的漏洞只会“禁而不绝”、“越堵越多”。当然,对于部门立法的治本之策是采用法治国家的通例,将部门立法转为公共立法。但在目前部门立法现象尚不能完全消除的情况下,可以考虑如下的方案。(1)尽量将立法权与执行权分开,负责起草法条的部门立法者不能主笔起草法律的执行细则部分。(2)允许广泛的、全程的监督和批评,把人大监督、政府内部监督和群众监督配合起来,尽量制衡部门立法者的权力。(3)允许抽象行政行为可诉,将行政规范性文件纳入可诉讼范围,推动政府规范性文件的法治化运行。总之,只有改变了权力的结构和运行方式,策略性模糊才能消除。
 
当然,运用法律的经济分析方法研究法律语言的模糊性问题,本文只是开了一个头,仅仅研究了立法语言的模糊性问题。实际上,这一领域还有很大的拓展空间。在一般的法律语言中,也带有相当多的模糊成分,例如法律文书语言、法庭辩论语言等,都出于各自的理由而存在着大量的策略性模糊现象。这类法律语言的模糊成分需要一个更为复杂的多方博弈的框架方能处理。对于法律的技术性模糊和策略性模糊,本文进行了理论上的探索,但在实践部分只是结合最普通的法律常识略加示例,以求论证一个可资参考的初步框架,实际上,在现实中寻找到合适的案例进行深入细致的剖析,往往会比单纯的理论思考,得到更丰富的结论和更深刻的洞见。
 
 
【注释】
[1]如《劳动合同法》第4条规定,“在规章制度和重大事项决定实施过程中,工会或者职工认为不适当的,有权向用人单位提出,通过协商予以修改完善”,其中“重大事项”和“不适当”均属模糊词语。《侵权责任法》之第2条中笼统规定对“权益”的保护,并没有细致区分“权利”和“利益”;第10条规定共同侵权,仅用“二人以上实施危及他人人身、财产安全的行为”,却未言及多个侵权行为是如何结合的。至于“合理注意”、“显失公平”、“不当得利”等基本民法概念,更是包含了相当多的模糊成分。
[2]如杜金榜:“从法律语言的模糊性到司法结果的确定性”,载《现代外语(季刊)》2001年第3期;杨书文:“刑法规范的模糊性与明确性及其整合机制”;载《中国法学》2001年第3期;王建:“法律语言的模糊性及准确运用”,载《西南政法大学学报》2006年第2期;张纯辉:“法律语言模糊性的成因探析”,载《河北法学》2010年第9期;罗士俐:“法律语言本质特征的批判性分析——准确性、模糊性抑或严谨性”,载《北方法学》2011年第4期。
[3] Marschak, Jacob: Economics of Language. Behavioral Science,1965,10(2),pp.135-40.
[4] Smith, Adam. Lectures on Rhetoric and Belles Letters. Oxford Clarendon Press, p.211(1983).
[5]Rubinstein, Ariel. Economics and Language. Cambridge: Cambridge University Press,2000;中译本,[美]鲁宾斯坦:《经济学与语言》,钱勇译,上海财经大学出版社2004年版。
[6] Blume, Andreas. Coordination and Learning with a Partial Language. Journal of Economic Theory,2000,95(1),pp.1-36.
[7]关于此领域的具体进展,可参见张卫国:“语言的经济分析:一个综述”,载《经济评论》2011年第4期。J?ger也在《逻辑与语言手册》中详细综述了博弈语用学的成果,参见J?ger, G. Game-Theoretical Pragmatics, in J. v. Benthem e. d., Handbook of Logic and Language.2010,
[8] Glazer, Jacob and Rubinstein, Ariel. A Study in the Pragmatics of Persuasion: A Game Theoretical Approach. Theoretical Economics, 2006,1(4),pp.395-410.
[9] Lipman, B. L.(2006). Why is language vague? Working paper, December 2006,Department of Economics, Boston University.
[10] Franke, Michael; J?ger, Gerhard and Rooij, Robert van. Vagueness, Signaling and Bounded Rationality. New Frontiers in Artificial Intelligence,2011,6797,pp.45-59.
[11] O’Connor, Cailin. The Evolution of Vagueness. Erkenn,2014,79,pp.707-27.
[12]本文不讨论立法者自身对世界的认识、或适用法律出现模糊的情形,因此,笔者假设立法者在每类具体的边缘事例发生时,有能力判断它是否合法。当然,在立法的时刻,立法者也许根本没有预期到这类边缘事例的发生。但我们假设立法者在边缘事例发生的时候是有此判断力的。
[13] 这里的“执行者”是广义的,包括立法者之外所有司法系统在内,既包括行政机关,也包括下级法院。
[14]新华网http://news.xinhuanet.com/legal/2008-10/29/content_10272646.htm;全国人大网站。
[15]新华网2013年10月17日:“回炉”过期变质食品触目惊心,食品监管法规亟需“升级”完善.http://news.xinhuanet.com/legal/2013-10/17/c_117764836.htm
 
【参考文献】
{1}[英]蒂莫西·恩迪科特:《法律中的模糊性》,程朝阳译,北京大学出版社2010年版。
{2}梁启超:《梁启超法学文集》,范忠信选编,中国政法大学出版社2000年版。
{3}王洁:《法律语言学教程》,法律出版社1997年版。
{4}姜廷惠:《立法语言的模糊性研究——兼及对<中华人民共和国刑法>语言表述的解读》,中国政法大学出版社2013年版。
{5}韦森:“语言的经济学与经济学的语言”,载《东岳论丛》2009年第11期。
{6}[美]博登海默:《法理学:法律哲学与法律方法》,邓正来译,中国政法大学出版社1999年版。
{7}[美]本杰明·卡多佐:《司法过程的性质》,苏力译,北京商务印书馆2000年版。
{8}[英]哈特,L. A.《法律的概念》,张文显译,中国大百科全书出版社1996年版。
{9}许章润:“法言法语的规范化(性)——一个基于近代中国语境的历史法学解释”,载《法学》2010年第11期。
{10}于志刚:“口袋罪的时代变迁、当前乱象与消减思路”,载《法学》2013年第3期。
{11}[美]约翰·吉本斯:《法律语言学导论》,程朝阳译,北京法律出版社2007年版。

来源:《政法论坛》2016年第2期

版权声明:本站系非盈利性学术网站,所有文章均为学术研究用途,如有任何权利问题,请直接与我们联系。

责任编辑:李想

上一条: 经济新常态下供给侧改革的法治逻辑

下一条: 孟德斯鸠语境中的“法”及其“精神”

版权所有:中国私法网
本网站所有内容,未经中国私法网书面授权,不得转载、摘编,违者必究。
联系电话:027-88386157